Таблица Хладагентов Physical and Environmental Properties of Refrigerants 284 Items
Год выпуска: 2012 Язык: Русский, Английский Автор: В.П. Железный, Ю.В. Семенюк Жанр: Каталог, Справочное издание, Учебное пособие Издательство: Одесса « Фенiкс » Издание: Одесса, Формат: PDF+ EXCEL FILE Качество: Отсканированные страницы + слой распознанного текста Количество страниц: 16 Описание: За последние годы было nредложено достаточно большое количество хладагентов . В табл. 1.1 nриведены физические и экологические свойства наиболее широко применяемых в настоящее время хладагентов. In recent years, quite a large number of refrigerants In table 1.1 shows physical and environmental properties the most widely used refrigerants today. Доп. информация: таблица из книги "РАБОЧИЕ ТЕЛА ПАРОКОМПРЕССОРНЫХ ХОЛОДИЛЬНЫХ МАШИН ЖЕЛЕЗНЫЙ_СЕМЕНЮК 2012___422" (РАБОЧИЕ ТЕЛА ПАРОКОМПРЕССОРНЫХ ХОЛОДИЛЬНЫХ МАШИН ЖЕЛЕЗНЫЙ_СЕМЕНЮК 2012___422.PDF.torrent)
Содержание
Скриншоты
5
Таблица Хладагентов Physical and Environmental Properties of Refrigerants 284 Items
You cannot post new topics in this forum You cannot reply to topics in this forum You cannot edit your posts in this forum You cannot delete your posts in this forum You cannot vote in polls in this forum You cannot attach files in this forum You cannot download files in this forum
Таблица Хладагентов Physical and Environmental Properties of Refrigerants 284 Items
Язык: Русский, Английский
Автор: В.П. Железный, Ю.В. Семенюк
Жанр: Каталог, Справочное издание, Учебное пособие
Издательство: Одесса « Фенiкс »
Издание: Одесса,
Формат: PDF+ EXCEL FILE
Качество: Отсканированные страницы + слой распознанного текста
Количество страниц: 16
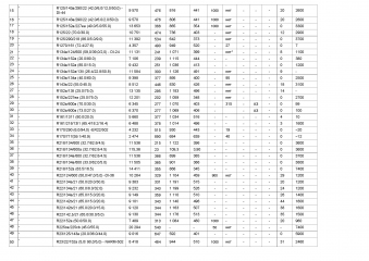
Описание: За последние годы было nредложено достаточно большое количество хладагентов . В табл. 1.1 nриведены физические и экологические свойства наиболее широко применяемых в настоящее время хладагентов.
In recent years, quite a large number of refrigerants In table 1.1 shows physical and environmental properties the most widely used refrigerants today.
Доп. информация: таблица из книги "РАБОЧИЕ ТЕЛА ПАРОКОМПРЕССОРНЫХ ХОЛОДИЛЬНЫХ МАШИН ЖЕЛЕЗНЫЙ_СЕМЕНЮК 2012___422" (РАБОЧИЕ ТЕЛА ПАРОКОМПРЕССОРНЫХ ХОЛОДИЛЬНЫХ МАШИН ЖЕЛЕЗНЫЙ_СЕМЕНЮК 2012___422.PDF.torrent)
Содержание
Скриншоты
Таблица Хладагентов Physical and Environmental Properties of Refrigerants 284 Items
Download [3 KB]
Share