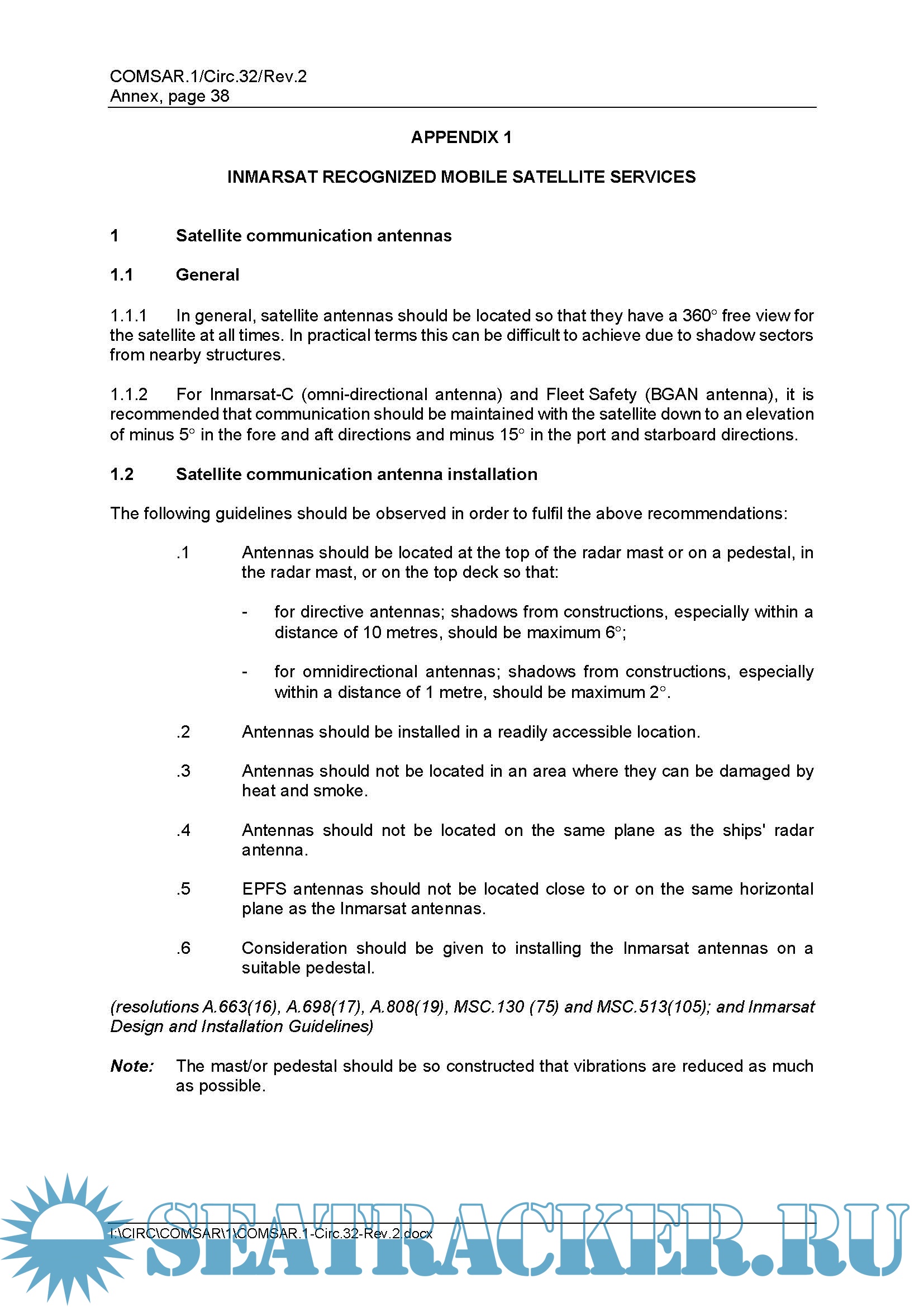
Harmonization of GMDSS Requirements for Radio Installations on Board SOLAS Ships
Year: 2023 Language: English Author: IMO Genre: Convention (rules) Edition: 2 Format: PDF Quality: eBook Pages count: 45 Description: COMSAR.1/Circ.32/Rev.2 The Sub-Committee, at its tenth session (10 to 19 May 2023), agreed with a number of modifications to COMSAR.1/Circ.32/Rev.1, which are incorporated into the revised Guidelines for the harmonization of GMDSS requirements for radio installations on board SOLAS ships, as set out in the annex, maintaining the effective implementation date of the revised Guidelines which will take effect on 1 January 2024, in line with the effective date of COMSAR.1/Circ.32/Rev.1
You cannot post new topics in this forum You cannot reply to topics in this forum You cannot edit your posts in this forum You cannot delete your posts in this forum You cannot vote in polls in this forum You cannot attach files in this forum You cannot download files in this forum
Harmonization of GMDSS Requirements for Radio Installations on Board SOLAS Ships
Language: English
Author: IMO
Genre: Convention (rules)
Edition: 2
Format: PDF
Quality: eBook
Pages count: 45
Description: COMSAR.1/Circ.32/Rev.2
The Sub-Committee, at its tenth session (10 to 19 May 2023), agreed with a number
of modifications to COMSAR.1/Circ.32/Rev.1, which are incorporated into the revised
Guidelines for the harmonization of GMDSS requirements for radio installations on board
SOLAS ships, as set out in the annex, maintaining the effective implementation date of the
revised Guidelines which will take effect on 1 January 2024, in line with the effective date of
COMSAR.1/Circ.32/Rev.1
Contents
Screenshots
Comment from: zxc [translate]
Non-compliance: 3.15
Hidden
FILE WAS DELETED BY COPYRIGHT HOLDERS
You can buy it on https://www.imo.org
Share