Год выпуска: 2000 Язык: Русский Автор: В.А. Загоруйко, А.А. Голиков, Жанр: Тихническая литература, Учебник, Учебник для мореход Издательство: Наукова думка Издание: Киев ISBN: 18ВМ 966-00-0636-5 Формат: PDF Качество: Отсканированные страницы + слой распознанного текста Количество страниц: 612 Описание: В учебнике изложены термодинамические основы холодильной техники, рассмотрены конструкции, строение, расчет и проектирование компрессоров и теплообменных аппаратов холодильных машин, систем комфортного и технического кондиционирования воздуха на судах, а также установок реконденсации газов на судах-газовозах. Для студентов и курсантов морских вузов, специализирующихся в области проектирования и эксплуатации судовых энергетических установок, а также может быть полезен научным и инженерно-техническим работникам предприятий морского флота и преподавателям средних морских училищ. Доп. информация: Предлагаемый учебник соответствует программам дисциплин, читаемых на судомеханических факультетах Одесского государственного морского университета и Одесской государственной морской академии. В основу книги положены лекции, читаемые авторами по курсам: «Теоретические основы холодильной техники», «Судовые холодильные установки», «Судовые системы кондиционирования воздуха», «Транспорт сжиженных газов», которые базируются на многолетнем опыте преподавания этих дисциплин. Таким образом, излагаемый в учебнике материал охватывает содержание всех смежных дисциплин по холодильной технике, изучаемых студентами высших учебных заведений морского профиля. Издание подобного учебника по судовой холодильной технике представляется в настоящее время целесообразным в связи с созданием новых и новейших технологий перевозки грузов морем, включая транспортировку мороженой продукции, сжиженных газов и др. Наряду с изложением теоретических вопросов в учебнике приводится необходимое количество справочных данных и примеров теплотехнических расчетов оборудования и систем судовой холодильной техники, которые будут полезны студентам при выполнении курсовых и дипломных работ. Первый и второй разделы подготовлены проф. Загоруйко В.А., а третий и четвертый — проф. Голиковым А.А.
Содержание
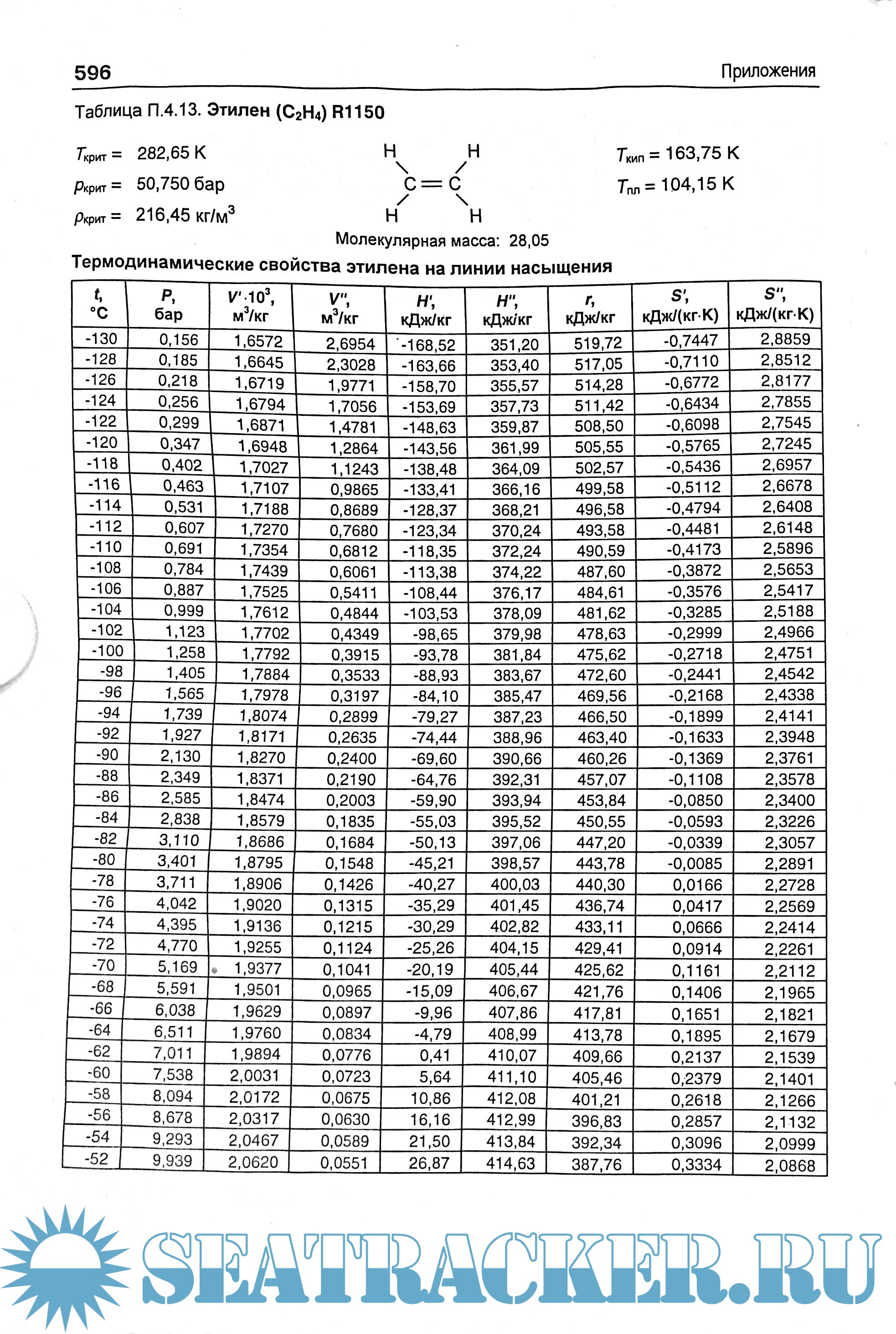
Скриншоты
5
Судовая Холодильная Техника Загоруйко_Гликов_2000___621.pdf
You cannot post new topics in this forum You cannot reply to topics in this forum You cannot edit your posts in this forum You cannot delete your posts in this forum You cannot vote in polls in this forum You cannot attach files in this forum You cannot download files in this forum
Судовая Холодильная Техника
Язык: Русский
Автор: В.А. Загоруйко, А.А. Голиков,
Жанр: Тихническая литература, Учебник, Учебник для мореход
Издательство: Наукова думка
Издание: Киев
ISBN: 18ВМ 966-00-0636-5
Формат: PDF
Качество: Отсканированные страницы + слой распознанного текста
Количество страниц: 612
Описание: В учебнике изложены термодинамические основы холодильной техники, рассмотрены конструкции, строение, расчет и проектирование компрессоров и теплообменных аппаратов холодильных машин, систем комфортного и технического кондиционирования воздуха на судах, а также установок реконденсации газов на судах-газовозах.
Для студентов и курсантов морских вузов, специализирующихся в области проектирования и эксплуатации судовых энергетических установок, а также может быть полезен научным и инженерно-техническим работникам предприятий морского флота и преподавателям средних морских училищ.
Доп. информация: Предлагаемый учебник соответствует программам дисциплин, читаемых на судомеханических факультетах Одесского государственного морского университета и Одесской государственной морской академии. В основу книги положены лекции, читаемые авторами по курсам: «Теоретические основы холодильной техники», «Судовые холодильные установки», «Судовые системы кондиционирования воздуха», «Транспорт сжиженных газов», которые базируются на многолетнем опыте преподавания этих дисциплин. Таким образом, излагаемый в учебнике материал охватывает содержание всех смежных дисциплин по холодильной технике, изучаемых студентами высших учебных заведений морского профиля.
Издание подобного учебника по судовой холодильной технике представляется в настоящее время целесообразным в связи с созданием новых и новейших технологий перевозки грузов морем, включая транспортировку мороженой продукции, сжиженных газов и др.
Наряду с изложением теоретических вопросов в учебнике приводится необходимое количество справочных данных и примеров теплотехнических расчетов оборудования и систем судовой холодильной техники, которые будут полезны студентам при выполнении курсовых и дипломных работ.
Первый и второй разделы подготовлены проф. Загоруйко В.А., а третий и четвертый — проф. Голиковым А.А.
Содержание
Скриншоты
Судовая Холодильная Техника Загоруйко_Гликов_2000___621.pdf
Download [18 KB]
Share