gillnumil ®   20-Aug-2025 10:36

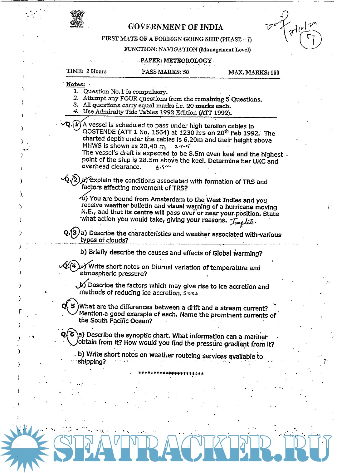
Question Paper Set Meteorology (July 2025) Phase I (Chief Mate F.G.) Mercantile Marine Department (MMD), India Examinations


Year: 2025
Language: English
Author: D.G. Shipping, India
Format: PDF
Quality: eBook
Pages count: 65
Description: Question paper set for Meteorology Mercantile Marine Department (MMD), India Exams for Phase I - Chief Mate (F.G.).

Contents

N/A

Screenshots

1755328140Meteorology - Phase1 Jul 2025.pdf

Download [9 KB]

Thank U
Reply
refresh list

Similar releases

Question Paper Set Safety (July 2025) Phase I (Chief Mate F.G.) Mercantile Marine Department (MMD),…
Question Paper Set for Meteorology (July 2022) for Phase I (Chief Mate F.G.) Mercantile Marine…
Question Paper Set Naval Architecture I (July 2025) Phase I (Chief Mate F.G.) Mercantile Marine…
Question Paper Set Cargo Work (July 2025) Phase I (Chief Mate F.G.) Mercantile Marine Department…
Question Paper Set Terrestrial and Coastal Navigation (July 2025) Phase I (Chief Mate F.G.)…
Question Paper Set for Meteorology (August 2022) for Phase I (Chief Mate F.G.) Mercantile Marine…
Question Paper Set Naval Architecture II (May 2025) Phase II (Chief Mate F.G.) Mercantile Marine…
Question Paper Set Maritime Legislation (August 2025) Phase II (Chief Mate F.G.) Mercantile Marine…
Question Paper Set for Naval Architecture I (July 2022) for Phase I (Chief Mate F.G.) Mercantile…
Question Paper Set for Cargo Handling and Stowage (July 2022) for Phase I (Chief Mate F.G.)…
LOAD MORE
  • Reply

The time now is: Today 17:28

All times are GMT + 3 Hours