Year: 2007 Language: english Author: South Tyneside College Genre: Textbook Publisher: South Tyneside College Format: PDF Quality: Scanned pages Pages count: 600 Description: UK Class 1&2 MEO Preparation Guide book - Motor & General Faculty of Marine and Mechanical Engineering. Including Question and Answers.
Contents
1. IC Engines - Basic Principles 2. Machinery Components & parts 3. Fuel Injection system 4. Scavenging and Turbochargers 5. Starting and Reversing 6. Fuel, Combustion and Treatment 7. Lubrication 8. Lub Oil Purification and Testing 9. Engine Operational Hazards 10. Air Compressor 11. Engine Cooling System 12. Engine Control 13. Boilers and Waste Heat Management. 14.Pumps 15. Steering Gears. 16.Heat Exchangers 17. OWS 18.STP 19.Refrigeration and Air conditioning 20.Shafting 21.Deck Machineries 22.Life Boat and Davits 23.Life Saving appliances. 24. Question and Answers.
curiousboy, 1) Description cannot be the name of the book. From screenshot looks like book name is "Class One Engineering Knowledge - Turbochargers." 2) Contents are not organized. Make it same like your previous release https://seatracker.xyz/viewtopic.php?t=43908: 1. xxx 2. xxx 3. xxx 3) Looks like number of pages is 30 as per screenshot. not 890 as mentioned. Look here: https://seatracker.xyz/viewtopic.php?t=21050 It would be better if you can learn how to do it. Otherwise just drop me pm. I will fix it for you.
You cannot post new topics in this forum You cannot reply to topics in this forum You cannot edit your posts in this forum You cannot delete your posts in this forum You cannot vote in polls in this forum You cannot attach files in this forum You cannot download files in this forum
Class One Engineering Knowledge
Language: english
Author: South Tyneside College
Genre: Textbook
Publisher: South Tyneside College
Format: PDF
Quality: Scanned pages
Pages count: 600
Description: UK Class 1&2 MEO Preparation Guide book - Motor & General
Faculty of Marine and Mechanical Engineering. Including Question and Answers.
Contents
1. IC Engines - Basic Principles2. Machinery Components & parts
3. Fuel Injection system
4. Scavenging and Turbochargers
5. Starting and Reversing
6. Fuel, Combustion and Treatment
7. Lubrication
8. Lub Oil Purification and Testing
9. Engine Operational Hazards
10. Air Compressor
11. Engine Cooling System
12. Engine Control
13. Boilers and Waste Heat Management.
14.Pumps
15. Steering Gears.
16.Heat Exchangers
17. OWS
18.STP
19.Refrigeration and Air conditioning
20.Shafting
21.Deck Machineries
22.Life Boat and Davits
23.Life Saving appliances.
24. Question and Answers.
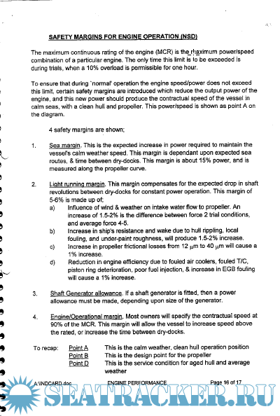
Screenshots
UK_MEO-1
Download [11 KB]
Share
1) Description cannot be the name of the book. From screenshot looks like book name is
"Class One Engineering Knowledge - Turbochargers."
2) Contents are not organized. Make it same like your previous release https://seatracker.xyz/viewtopic.php?t=43908:
1. xxx
2. xxx
3. xxx
3) Looks like number of pages is 30 as per screenshot. not 890 as mentioned.
Look here:
https://seatracker.xyz/viewtopic.php?t=21050
It would be better if you can learn how to do it. Otherwise just drop me pm. I will fix it for you.
Share