gillnumil ®   18-May-2023 08:02

Question Paper Set for (ASM) Advanced Shipboard Management (May 2023) for Master's Examinations, Mercantile Marine Department (MMD), India


Year: 2023
Language: english
Author: Oways Online
Format: PDF
Quality: eBook
Pages count: 101
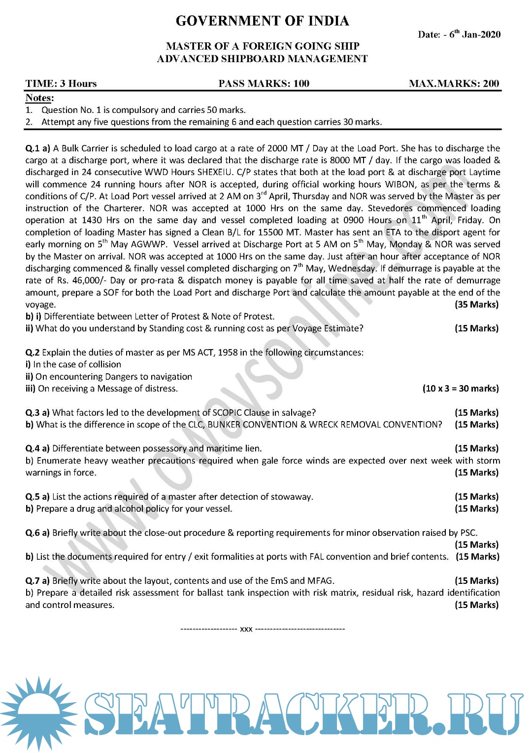
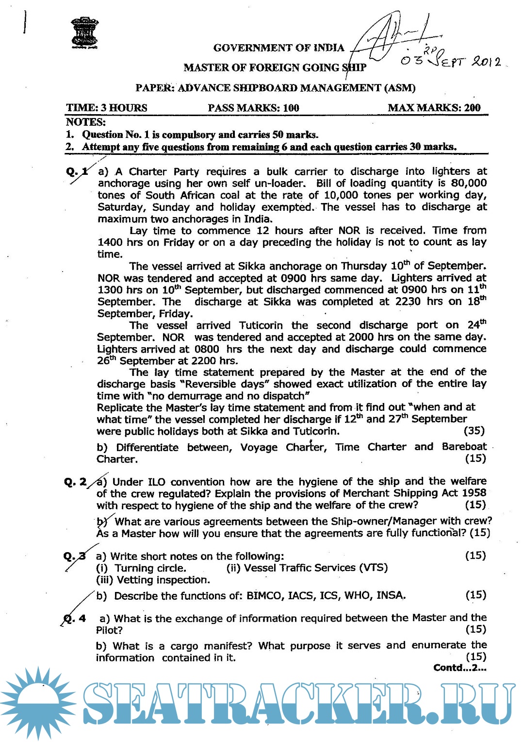
Description: Paper: ASM - Advanced Shipboard Management
Master's examinations Question paper sets for Mercantile Marine Department (MMD), India.
Additional info: Updated May 2023.

Contents

N/A

Screenshots

Hidden

Download [13 KB]

Thank U
Reply
refresh list

Similar releases

Question Paper Set for (ASM) Advanced Shipboard Management (July 2023) for Master's…
Question Paper Set for (ASM) Advanced Shipboard Management (March 2023) for Master's…
Question Paper Set for (ASM) Advanced Shipboard Management (April 2023) for Master's…
Question Paper Set for (ASM) Advanced Shipboard Management Writtens (September 2023) for…
Question Paper Set for (ASM) Advanced Shipboard Management (May 2024) for Master's…
Question Paper Set for (ASM) Advanced Shipboard Management (July 2024) for Master's…
Question Paper Set for (ASM) Advanced Shipboard Management (January 2024) for Master's…
Question Paper Set for (ASM) Advanced Shipboard Management (March 2024) for Master's…
Orals Question Bank (May 2023) for ASM (Advanced Shipboard Management) / Master's Mercantile…
Question Paper Set for (ASM) Advanced Ship Management (July 2022) for Master's Examinations,…
LOAD MORE
  • Topic closed

The time now is: Today 21:58

All times are GMT + 3 Hours