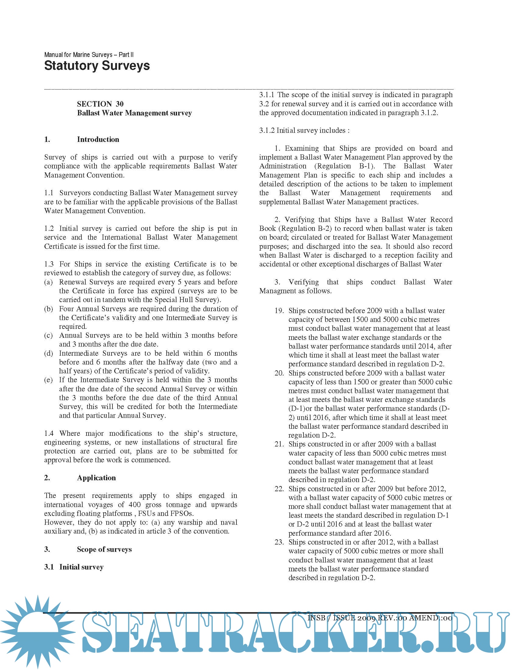
Manual for Marine Surveys (Part II Statutory surveys)
Year: 2009 Language: English Author: International Naval Surveys Bureau (INSB) Genre: Manual, Textbook Publisher: INSB Class Edition: 2009 Edition Format: PDF Quality: eBook Pages count: 122 Description: The purpose of the present manual is to provide to surveyors general survey instructions and procedures that they should follow for conducting the applicable statutory surveys and for the issuance of the related certificates. This book provides a detailed guide on maintaining and updating the classification of vessels in accordance with international standards. It thoroughly discusses the requirements and procedures related to periodical surveys that are essential for maintaining the vessel’s class. The processes are outlined, starting from initial surveys of new or existing vessels, to the procedures for extending and renewing class certificates. Additional info: https://seatracker.xyz/viewtopic.php?t=65586
Contents
Screenshots
5
Manual for Marine Surveys (Part II Statutory surveys) - INSB.pdf
You cannot post new topics in this forum You cannot reply to topics in this forum You cannot edit your posts in this forum You cannot delete your posts in this forum You cannot vote in polls in this forum You cannot attach files in this forum You cannot download files in this forum
Manual for Marine Surveys (Part II Statutory surveys)
Language: English
Author: International Naval Surveys Bureau (INSB)
Genre: Manual, Textbook
Publisher: INSB Class
Edition: 2009 Edition
Format: PDF
Quality: eBook
Pages count: 122
Description: The purpose of the present manual is to provide to surveyors general survey instructions and procedures that they should follow for conducting the applicable statutory surveys and for the issuance of the related certificates.
This book provides a detailed guide on maintaining and updating the classification of vessels in accordance with international standards. It thoroughly discusses the requirements and procedures related to periodical surveys that are essential for maintaining the vessel’s class. The processes are outlined, starting from initial surveys of new or existing vessels, to the procedures for extending and renewing class certificates.
Additional info: https://seatracker.xyz/viewtopic.php?t=65586
Contents
Screenshots
Manual for Marine Surveys (Part II Statutory surveys) - INSB.pdf
Download [2 KB]
Share