gillnumil ®   19-Jan-2024 01:10

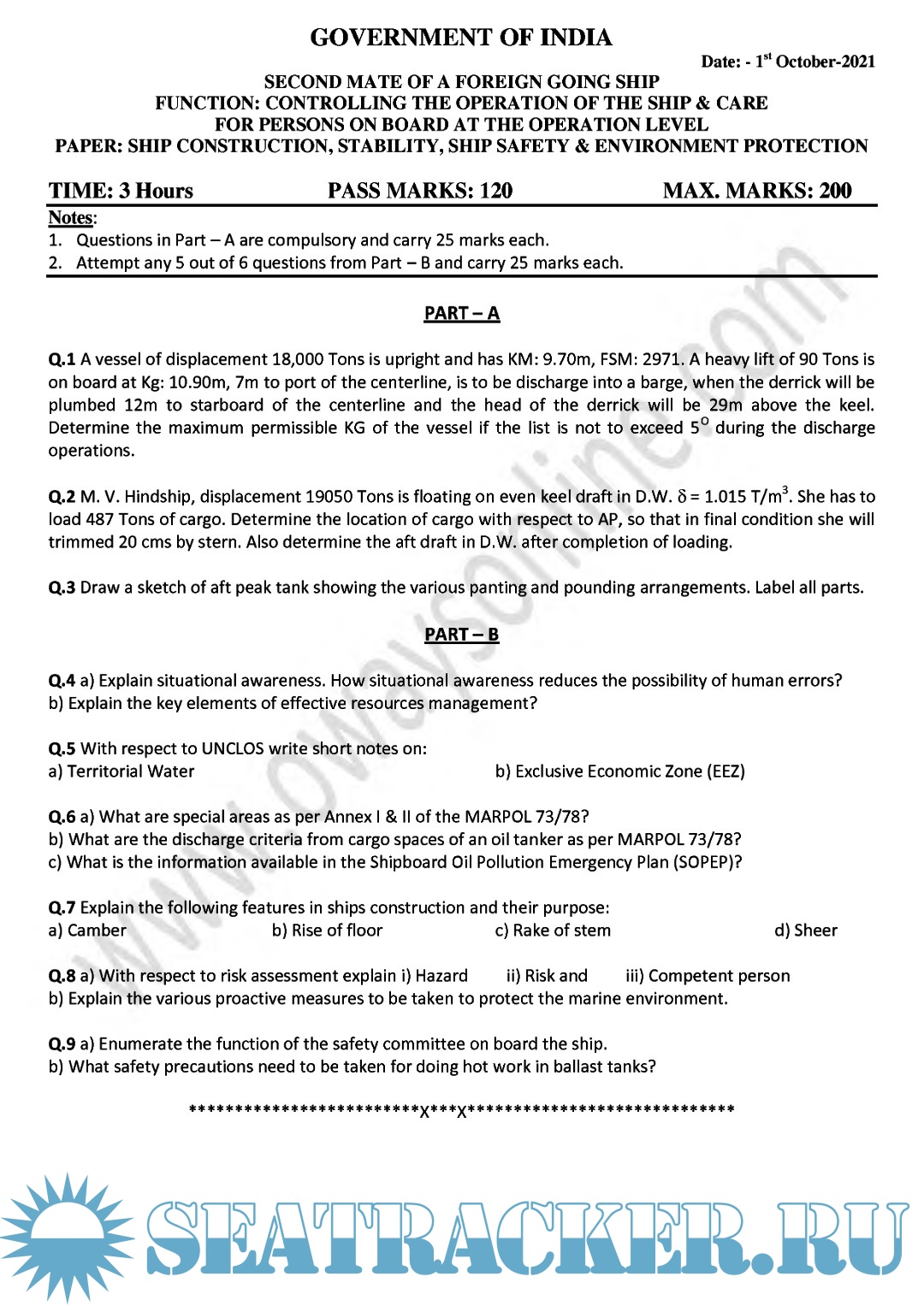
Question Paper Set (November 2023) for Second Mate (F.G.) Mercantile Marine Department (MMD), India Examinations


Year: 2023
Language: English
Author: D.G. Shipping, India
Publisher: Oways Online
Format: PDF
Quality: eBook
Pages count: 427
Description: Second Mate (F.G.) question paper sets (2023-2016) for Mercantile Marine Department (MMD), India Exams.

Contents

2016-2023

Screenshots

Hidden

Download [11 KB]

Thank U
Reply
refresh list

Similar releases

Question Paper Set (May 2024) for Second Mate (F.G.) Mercantile Marine Department (MMD), India…
Question Paper Set (November 2023) Phase II (Chief Mate F.G.) Mercantile Marine Department (MMD),…
Question Paper Set (May 2023) Phase II (Chief Mate F.G.) Mercantile Marine Department (MMD), India…
Question Paper Set (May 2023) for Second Mate (F.G.) Mercantile Marine Department (MMD), India…
Question Paper Set (July 2023) for Second Mate (F.G.) Mercantile Marine Department (MMD), India…
Question Paper Set (March 2023) for Second Mate (F.G.) Mercantile Marine Department (MMD), India…
Question Paper Set (February 2024) Phase II (Chief Mate F.G.) Mercantile Marine Department (MMD),…
Question Paper Set (October 2023) for Phase I (Chief Mate F.G.) Mercantile Marine Department (MMD),…
Question Paper Set for Meteorology (July 2022) for Second Mate (F.G.) Mercantile Marine Department…
Question Paper Set for Meteorology (August 2022) for Second Mate (F.G.) Mercantile Marine…
LOAD MORE
  • Topic closed

The time now is: Today 20:13

All times are GMT + 3 Hours