gillnumil ®   03-Apr-2024 17:32

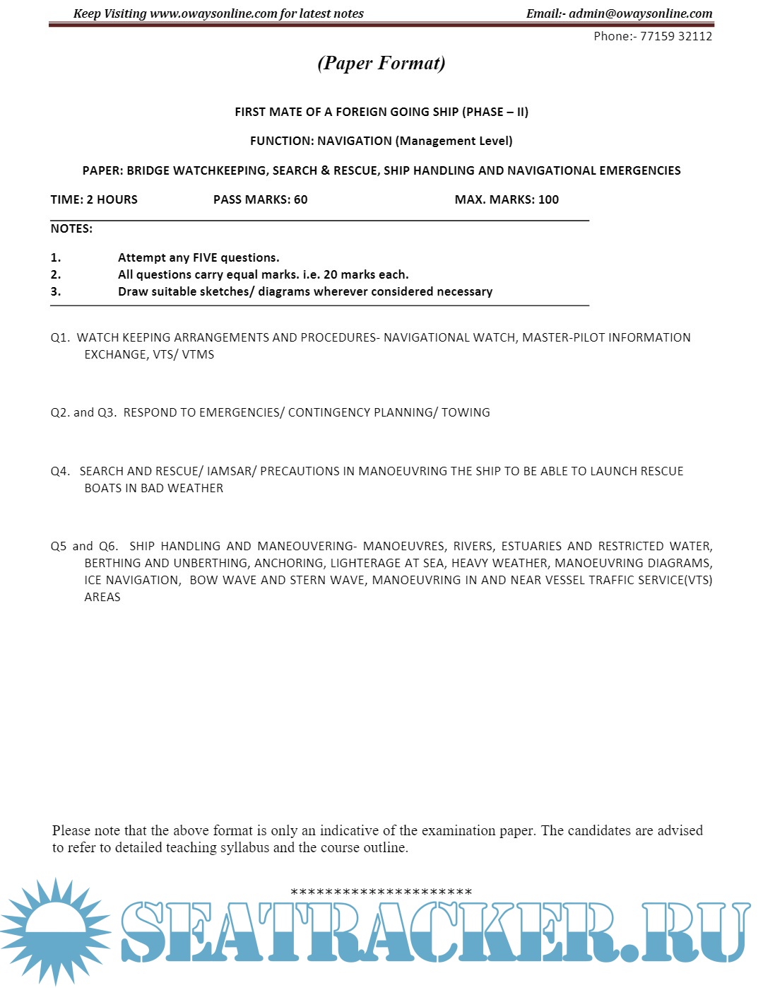
Question Paper Set (February 2024) Phase II (Chief Mate F.G.) Mercantile Marine Department (MMD), India Examinations


Year: 2024
Language: English
Author: D.G. Shipping, India
Publisher: Oways Online
Format: PDF
Quality: eBook
Pages count: 317
Description: Question paper set for Mercantile Marine Department (MMD), India Exams for Phase II - Chief Mate (F.G.).

Contents

N/A

Screenshots

Hidden

Download [16 KB]

Thank U
Reply
refresh list

Similar releases

Question Paper Set (May 2024) Phase II (Chief Mate F.G.) Mercantile Marine Department (MMD), India…
Question Paper Set (May 2023) Phase II (Chief Mate F.G.) Mercantile Marine Department (MMD), India…
Question Paper Set (November 2023) Phase II (Chief Mate F.G.) Mercantile Marine Department (MMD),…
Question Paper Set (January 2024) for Phase I (Chief Mate F.G.) Mercantile Marine Department (MMD),…
Question Paper Set (July 2024) for Phase I (Chief Mate F.G.) Mercantile Marine Department (MMD),…
Question Paper Set (October 2023) for Phase I (Chief Mate F.G.) Mercantile Marine Department (MMD),…
Question Paper Set (February 2023) Phase II (Chief Mate F.G.) Mercantile Marine Department (MMD),…
Question Paper Set (April 2023) for Phase I (Chief Mate F.G.) Mercantile Marine Department (MMD),…
Question Paper Set (May 2024) for Second Mate (F.G.) Mercantile Marine Department (MMD), India…
Question Paper Set (November 2023) for Second Mate (F.G.) Mercantile Marine Department (MMD), India…
LOAD MORE
  • Topic closed

The time now is: Today 17:26

All times are GMT + 3 Hours